• Предмет: Математика
  • Автор: Djjsjb
  • Вопрос задан 8 лет назад

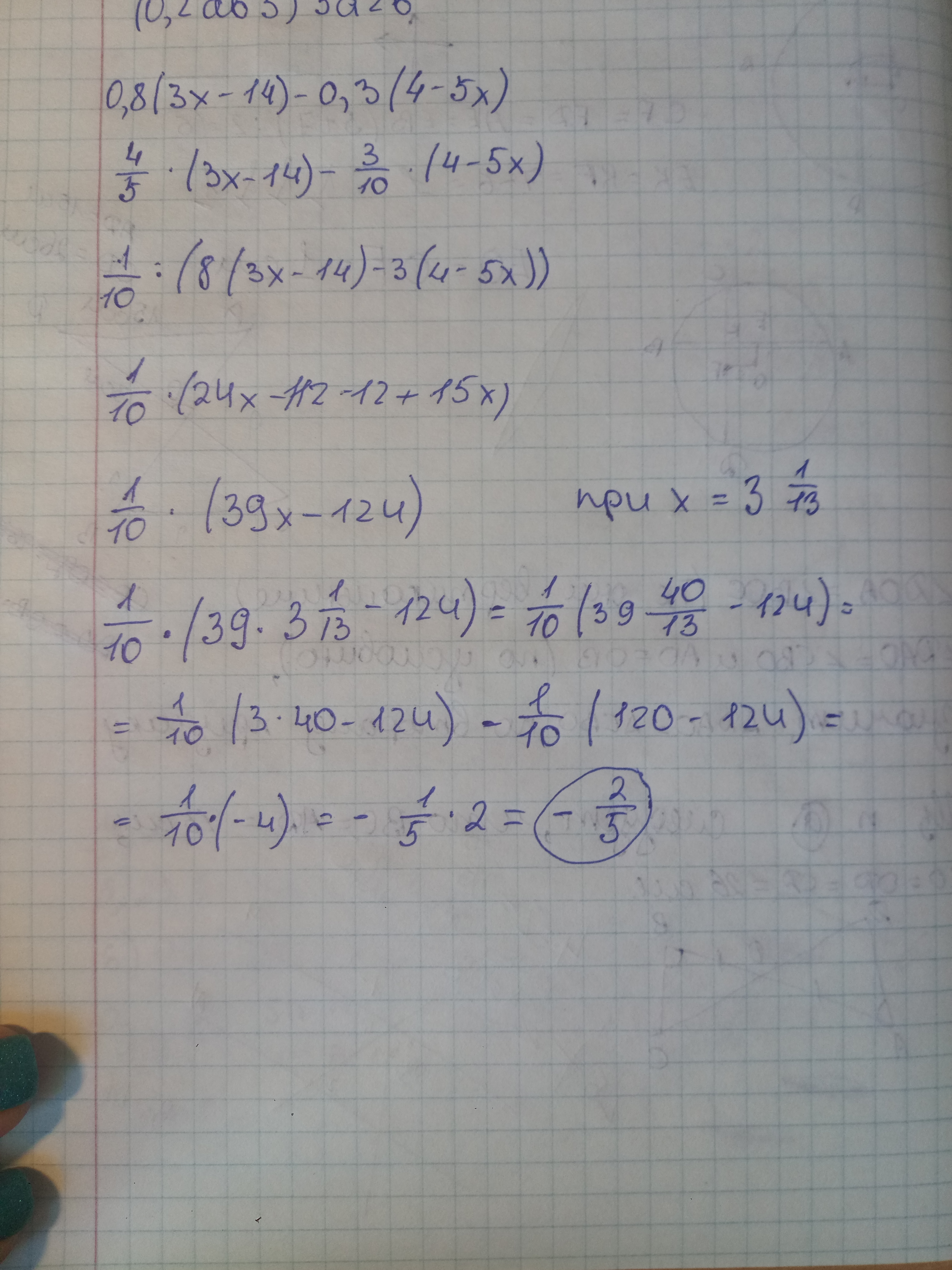
0,8(3x-14)-0,3(4-5x) при х=3 1/13

Ответы

Ответ дал: Ekaterina190500
0
ваше решение готово:
Приложения:
Ответ дал: saevichpolya2001
0
Лотолль......орртллимрото7роол
Приложения:
Вас заинтересует