Ответы
Ответ дал:
0
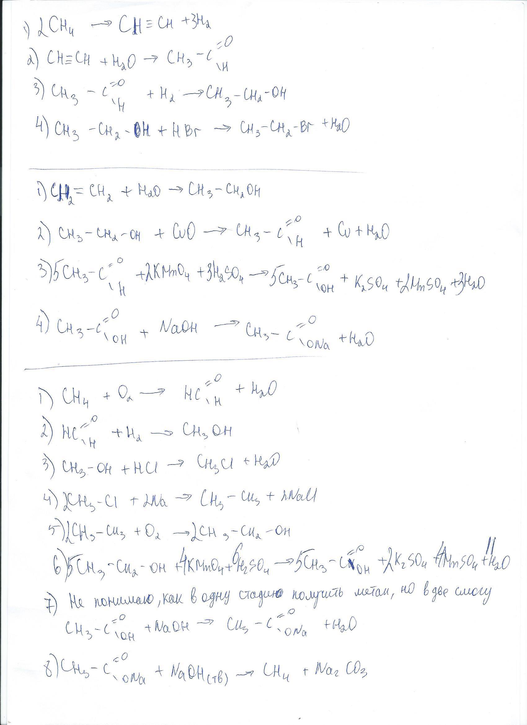
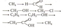
Насчет последнего уточните пожалуйста , потому что не совсем понимаю эту реакцию , а так все готово
Приложения:

Ответ дал:
0
2 3 строчка 2K а дальше?
Ответ дал:
0
2KMnO4 - это окислитель
Ответ дал:
0
пасиб
Вас заинтересует
2 года назад
2 года назад
3 года назад
3 года назад
9 лет назад
9 лет назад