Ответы
Ответ дал:
0
По теореме Пифагора находим катет АС^2=625-400=225
АС=15
tgA=BC/AC=20/15=4/3
АС=15
tgA=BC/AC=20/15=4/3
Ответ дал:
0
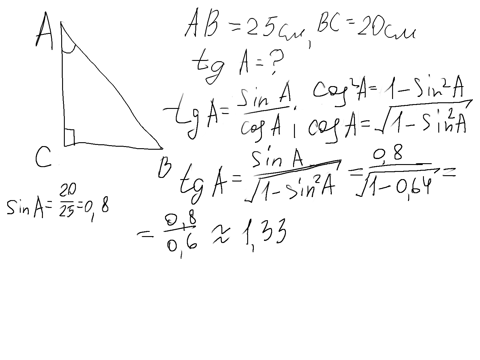
Способ решения задачи через основные тригонометрические уравнения.
А именно, из формулы sin²A + cos²A = 1 находим cos A и подставляем в формулу tg A. Ответ 4/3 или с точностью до сотых 1,33
А именно, из формулы sin²A + cos²A = 1 находим cos A и подставляем в формулу tg A. Ответ 4/3 или с точностью до сотых 1,33
Приложения:

Вас заинтересует
3 года назад
9 лет назад
9 лет назад