• Предмет: Физика
  • Автор: gaida7843Dayana
  • Вопрос задан 8 лет назад

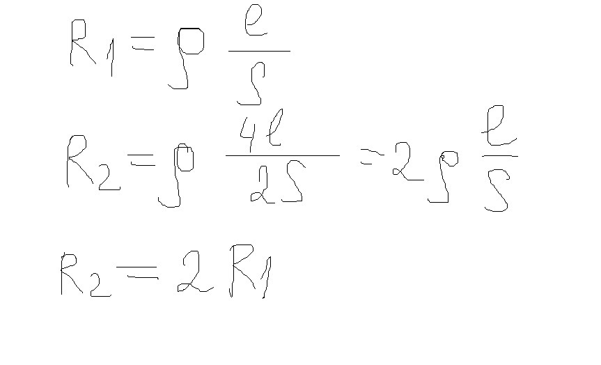
Как изменится сопротивление если длина проводника увелечится в 4 раза , а площадь поперечного сечения увеличить в 2 раза

Ответы

Ответ дал: ssroman72
0
Ответ смотреть на картинке
Приложения:
Вас заинтересует