• Предмет: Алгебра
  • Автор: Aigo18
  • Вопрос задан 8 лет назад

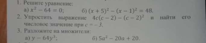
Помогите пожалуйста.

Приложения:

Ответы

Ответ дал: сок111213
0
Решение на фотографии
Приложения:
Вас заинтересует