• Предмет: Алгебра
  • Автор: davydamarynap4g7ss
  • Вопрос задан 8 лет назад

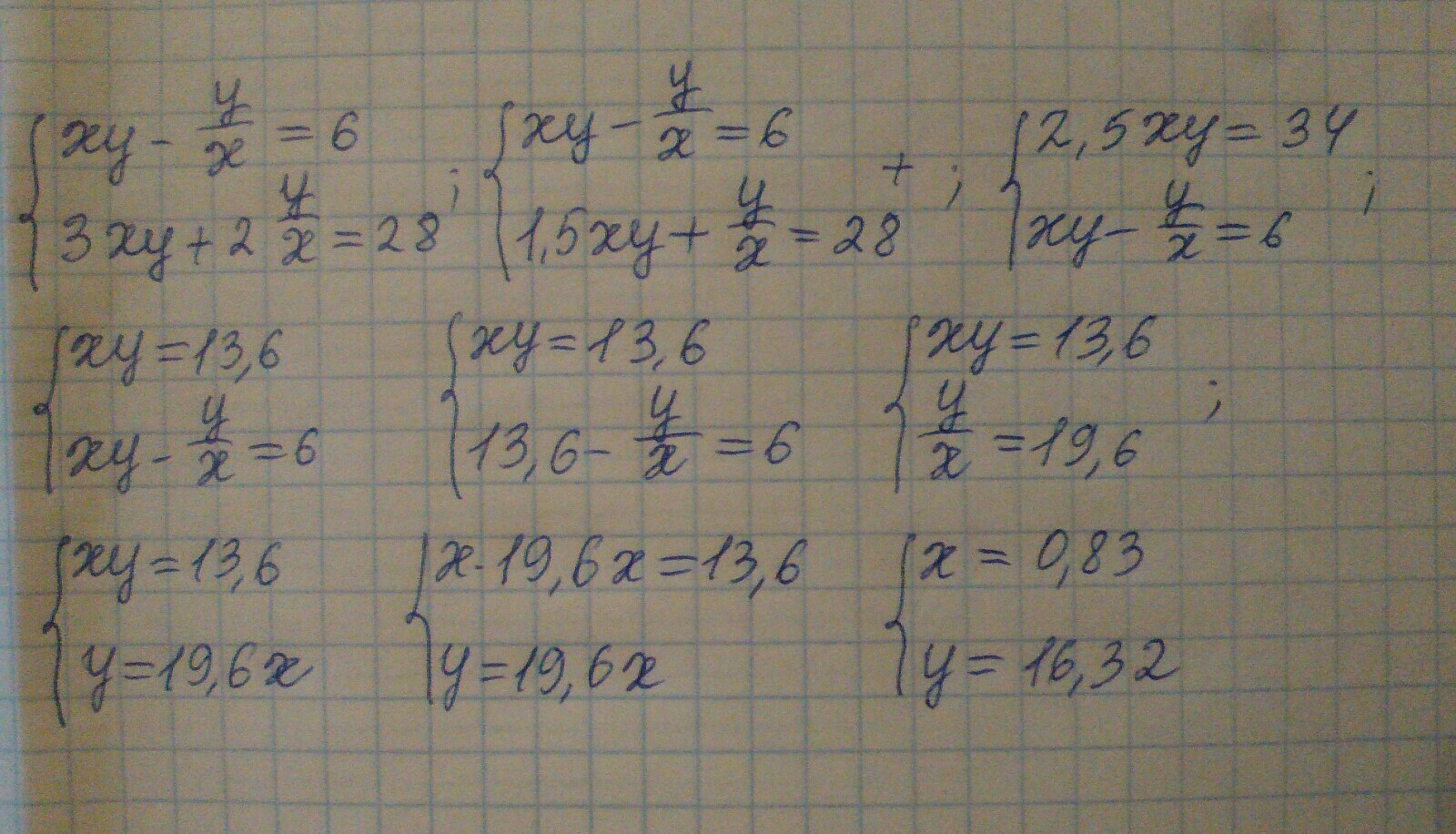
Срочно 20 балів!!!!розвяжіть систему рівнянь:
xy - y/x = 6
3xy+ 2y/x=28

Ответы

Ответ дал: mocor
0
....................
Приложения:
Вас заинтересует