• Предмет: Математика
  • Автор: azaliaksk
  • Вопрос задан 8 лет назад

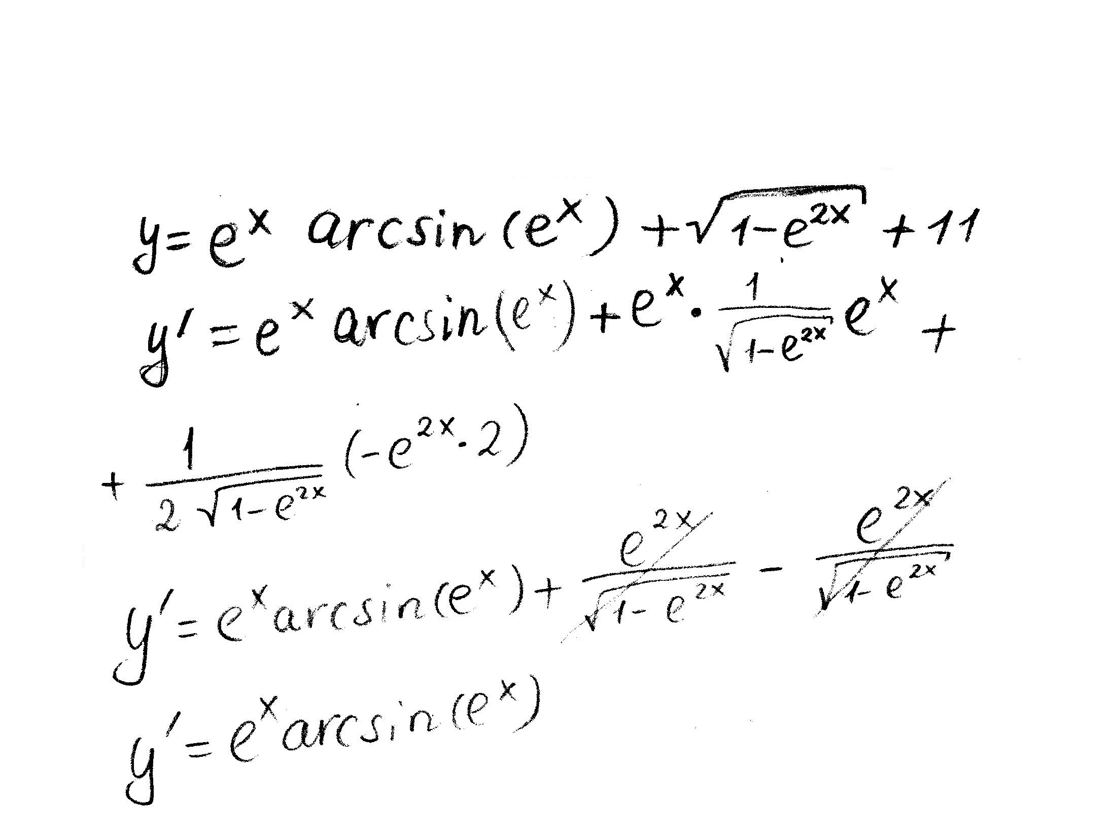
Найти производную функцию:
e^arcsin(e^)+sqrt1-e^(2x)+11

Приложения:

Ответы

Ответ дал: bearcab
0
Решение в приложении. Должно быть понятно.
Приложения:
Вас заинтересует