• Предмет: Алгебра
  • Автор: saranat17031
  • Вопрос задан 8 лет назад

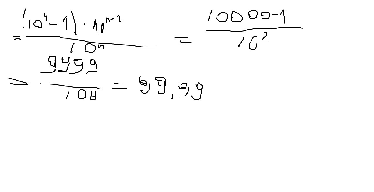
Сократите дробь:
10^n+2-10^n-2/10^n

Ответы

Ответ дал: polina200396
0
Сорри за подчерк, просто не удобно писать
Приложения:
Вас заинтересует