• Предмет: Алгебра
  • Автор: marivakulchuk
  • Вопрос задан 8 лет назад

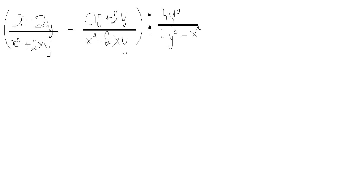
дпа, упростить выражение

Приложения:

Ответы

Ответ дал: maksimcat
0
(frac{x-2y}{ x^{2} +2xy} - frac{x+2y}{ x^{2} -2xy} ): frac{4y^2}{4y^2-x^2} = \  \ (frac{x-2y}{ x(x+2y)} - frac{x+2y}{x(x-2y)} )* frac{4y^2-x^2}{4y^2} = \  \  frac{(x-2y)^2-(x+2y)^2}{x(x+2y)(x-2y)} * frac{4y^2-x^2}{4y^2} = \  \ frac{x^2-4xy+4y^2-x^2-4xy-4y^2}{x(x+2y)(x-2y)} * frac{4y^2-x^2}{4y^2} = \  \  frac{-8y}{x^2-4y^2} * frac{4y^2-x^2}{4y^2} =  frac{2}{y}  \  \

Вас заинтересует