• Предмет: Математика
  • Автор: zmerega64
  • Вопрос задан 8 лет назад

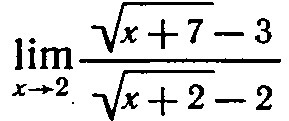
Вычислить предел:......

Приложения:

Ответы

Ответ дал: kirichekov
0
решение во вложении-----------------------
Приложения:
Ответ дал: zmerega64
0
Можешь, пожалуйста
Ответ дал: zmerega64
0
это тоже решить?
Ответ дал: zmerega64
0
https://znanija.com/task/29258921
Ответ дал: zmerega64
0
У меня 5 минут осталось...
Вас заинтересует