• Предмет: Математика
  • Автор: ivanburhevskij
  • Вопрос задан 8 лет назад

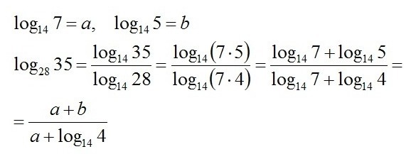
Выразите log 35 от 28 через а и в, если log 7 от 14=а;log 5 от 14=в.Please, halp!

Ответы

Ответ дал: 89857655422p9een5
0
решение в прикреплённой картинке
Приложения:
Вас заинтересует