• Предмет: Математика
  • Автор: RosFed
  • Вопрос задан 8 лет назад

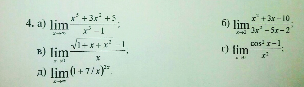
Помогите решить пожалуйста пределы, даю 50 б. Плииииииз! Срочно!

Приложения:

Ответы

Ответ дал: battaldar
0
а) ответ бесконечность. так как есть правило: если  в числителе наибольшая степень х (в данном случае х^5) больше наибольшей степени в знаменателе (в данном случае x^3), то ответ будет равен бесконечности

Приложения:
Ответ дал: RosFed
0
Да, спасибо. Но( мне Г) надо))
Ответ дал: battaldar
0
я с этими косинусами сама мучаюсь. у меня тоже здесь вопрос висит на пределы. тоже проходим сейчас
Ответ дал: battaldar
0
поэтому извини, но г я решить не могу (((
Ответ дал: RosFed
0
ясно, спасибо и за это)
Вас заинтересует