• Предмет: Математика
  • Автор: a1rborne
  • Вопрос задан 8 лет назад

СРОЧНО, ПОЖАЛУЙСТА!!!

Приложения:

Ответы

Ответ дал: LechK
0
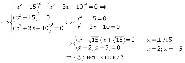
Всё решение на фотографии.
Приложения:
Ответ дал: LFP
0
в системе скобки могут быть и в квадрате и без квадрата, 
т.к. только квадрат нуля равен нулю))
Приложения:
Вас заинтересует