Ответы
Ответ дал:
0
!!!!!!!!!!!!!!!!!!!!!!!!
Приложения:
Ответ дал:
0
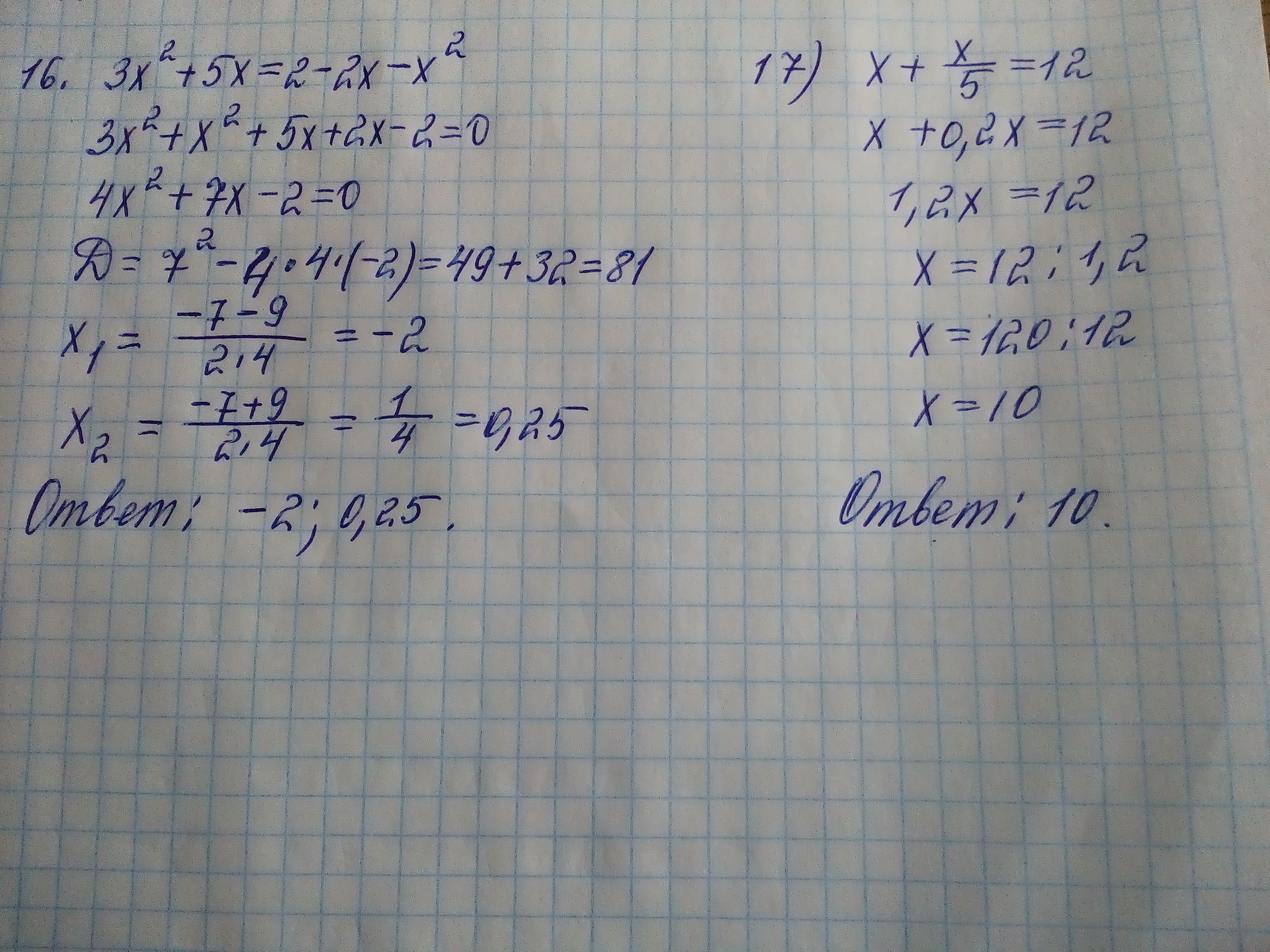
16) 3 x^2 + x^2 + 5x + 2x - 2 = 0;
4x^2 + 7x - 2 = 0;
D = b^2 - 4 a c = 7^2 - 4 * 4*(-2) = 49 + 32 = 81= 9^2;
x1 = (- 7 - 9)/ 2*4 = -16 / 8 = -2;
x2 = ( - 7 + 9) /2*4 = 2 / 2*4 = 1/4 = 0,25
17) 5x + x = 12* 5;
6x = 60 ;
x = 60 : 6 ;
x = 10
4x^2 + 7x - 2 = 0;
D = b^2 - 4 a c = 7^2 - 4 * 4*(-2) = 49 + 32 = 81= 9^2;
x1 = (- 7 - 9)/ 2*4 = -16 / 8 = -2;
x2 = ( - 7 + 9) /2*4 = 2 / 2*4 = 1/4 = 0,25
17) 5x + x = 12* 5;
6x = 60 ;
x = 60 : 6 ;
x = 10
Приложения:
Вас заинтересует
2 года назад
2 года назад
3 года назад
3 года назад
9 лет назад
9 лет назад
10 лет назад
10 лет назад