Ответы
Ответ дал:
0
!!!!!!!!!!!!!!!!!!!!!!!!!!
Приложения:
Ответ дал:
0
Решение:
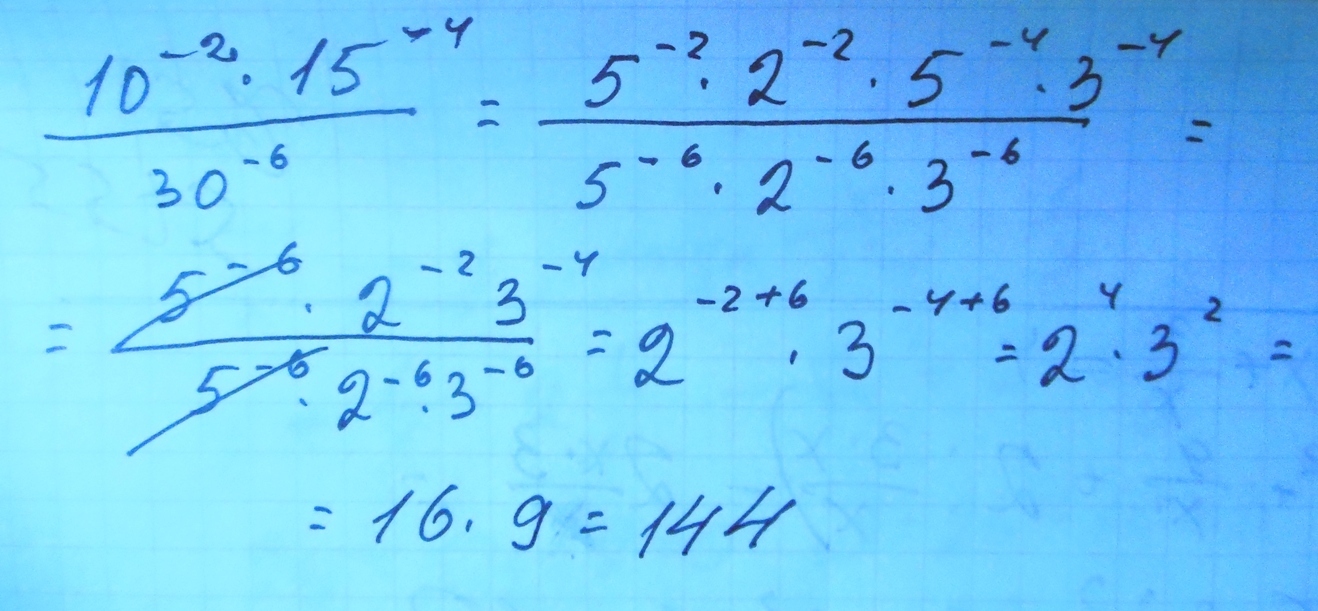
(10^(-2)*15^(-4))/30^(-6) = ((2•5)^(-2)• (3•5)^(-4)) : ((2•3•5)^(-6))= 2^(- 2)• 5^( - 2)• 3^(- 4)• 5^(- 4) : (2^(-6)• 3^(-6)• 5^(-6)) = ( 2^(-2) : 2^(-6))• (5^(-2)• 5^(-4) : 5^(-6))• (3^(-4) : 3^(- 6)) = 2^4 • 5^0• 3^2 = 16•1•9 = 144.
Ответ: 144.
(10^(-2)*15^(-4))/30^(-6) = ((2•5)^(-2)• (3•5)^(-4)) : ((2•3•5)^(-6))= 2^(- 2)• 5^( - 2)• 3^(- 4)• 5^(- 4) : (2^(-6)• 3^(-6)• 5^(-6)) = ( 2^(-2) : 2^(-6))• (5^(-2)• 5^(-4) : 5^(-6))• (3^(-4) : 3^(- 6)) = 2^4 • 5^0• 3^2 = 16•1•9 = 144.
Ответ: 144.
Приложения:
Вас заинтересует
2 года назад
3 года назад
3 года назад
9 лет назад
9 лет назад
10 лет назад