• Предмет: Геометрия
  • Автор: Аноним
  • Вопрос задан 8 лет назад

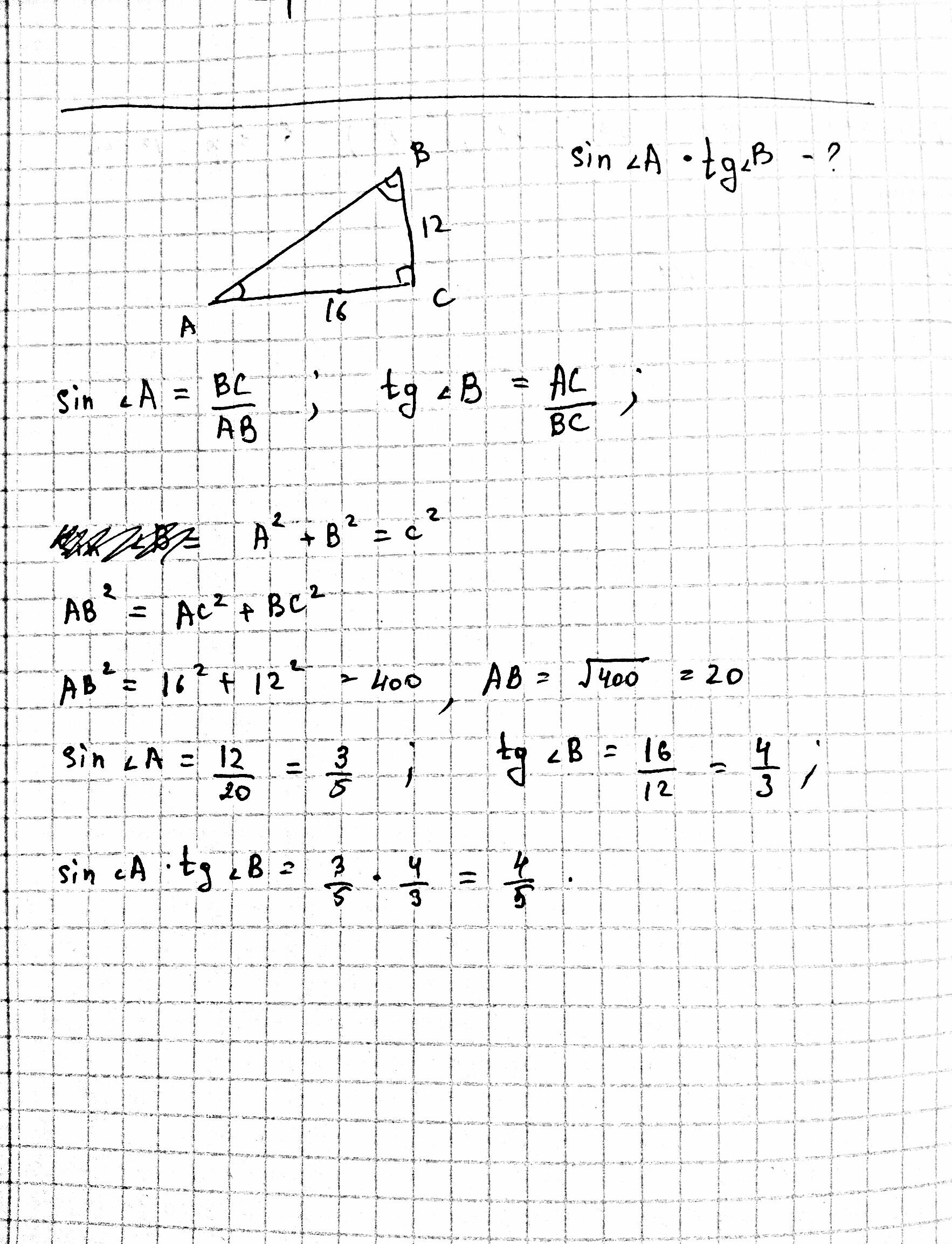
По данным рисункам найдите значение выражения Sin угол А умножить tg угол В

Приложения:

Ответы

Ответ дал: estengseant
0
........... ........... .......
Приложения:
Вас заинтересует