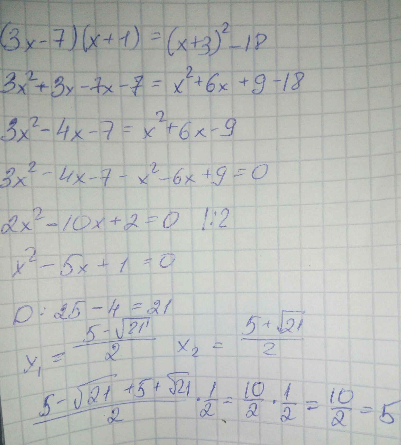
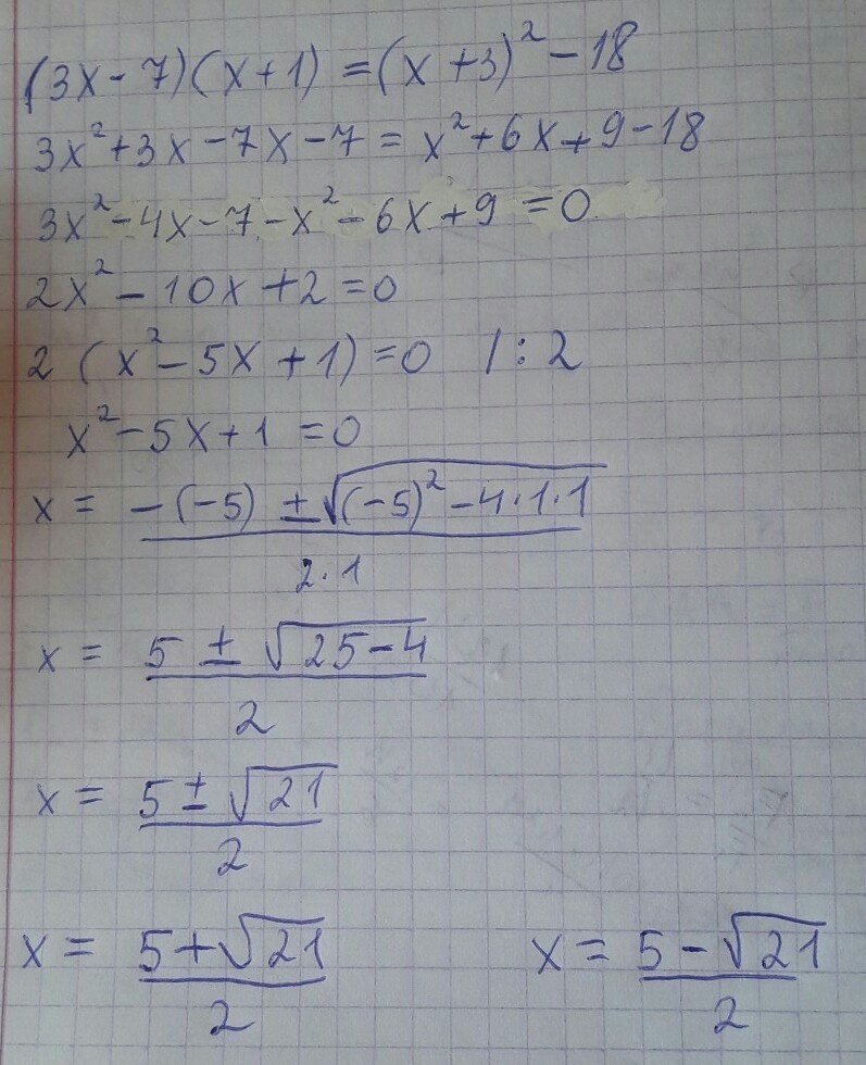
Решите уравнение (3х-7) (х+1)=(х+3)²-18. Если корней несколько, найдите их среднее арифметическое
Ответы
Ответ дал:
0
вот,пользуйся)))),если не понятно пиши
я ошиблась там 10/4 или 5/2
я ошиблась там 10/4 или 5/2
Приложения:

Ответ дал:
0
Среднее арифметическое :
(5 + √21 + 5 - √21) ÷ 2 ÷2 = (5 + 5) ÷ 2 ÷2 = 10 ÷ 2 ÷2= 5÷2 = 2,5
Приложения:

Вас заинтересует
2 года назад
3 года назад
9 лет назад
9 лет назад
9 лет назад
9 лет назад