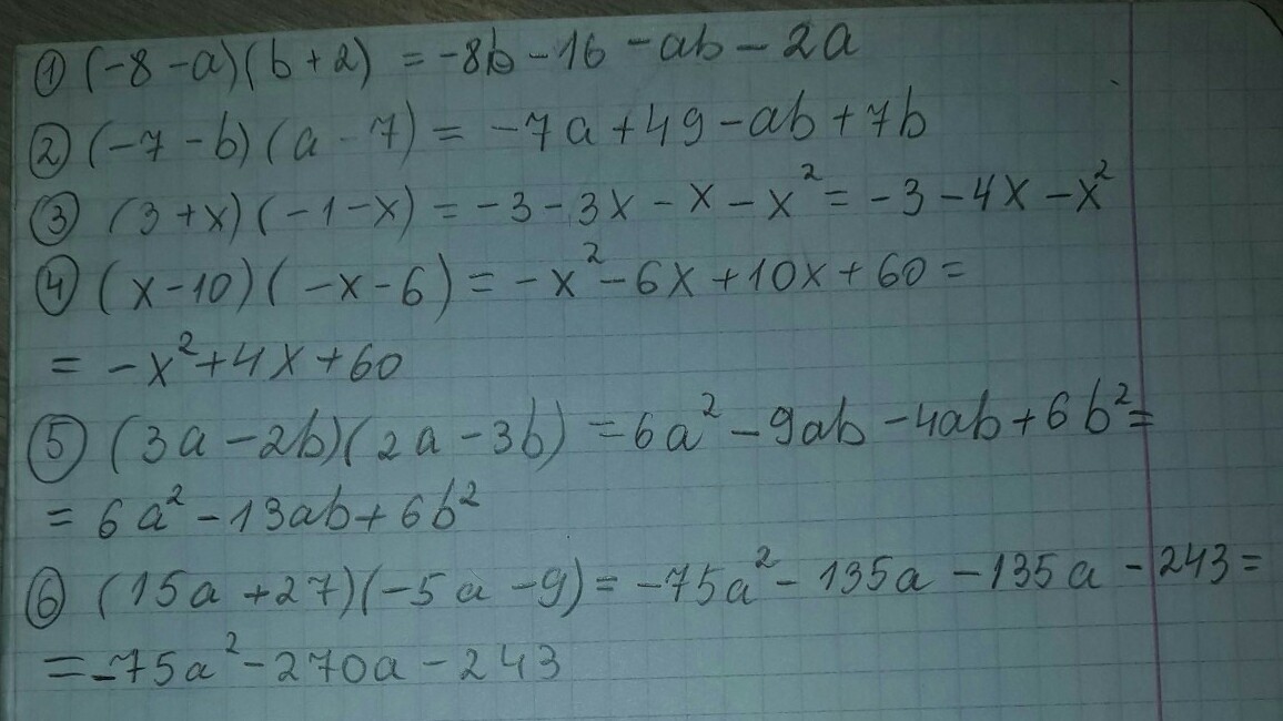
1) (-8 -a) (b +2)
2) (-7 -b) (a-7)
3) (3+x) (-1 -x)
4) (x-10) (-x -6)
5) (3a -2b) (2a -3b)
6) (15a +27) (-5a-9)
умножение многочлена на многочлен
Ответы
Ответ дал:
0
Решение на фотографии
Приложения:

Ответ дал:
0
у тебя ошибки в 1 и в 6
Ответ дал:
0
тут много ошибок как ответ может біть лучшим
Ответ дал:
0
быть
Вас заинтересует
2 года назад
2 года назад
3 года назад
9 лет назад
9 лет назад