• Предмет: Алгебра
  • Автор: vladislavdzhys1
  • Вопрос задан 8 лет назад

Помогите решить интегралы,вроде сверядом с формулами,но четверг не помогает(мозгов не хватает)

Приложения:

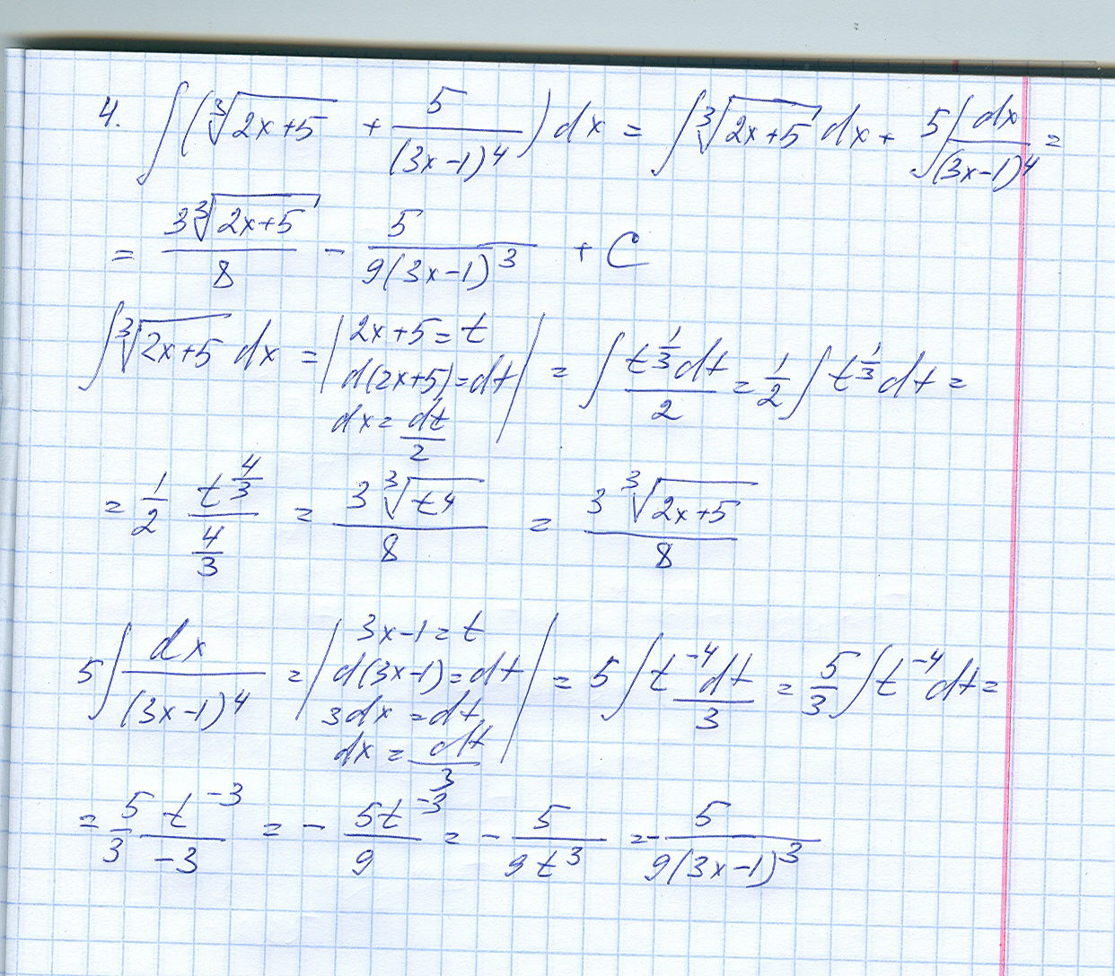
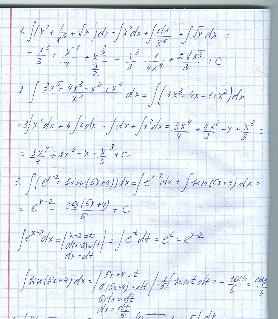
Ответы

Ответ дал: Vas61
0
решение интегралов находится ниже
Приложения:
Вас заинтересует