• Предмет: Алгебра
  • Автор: Pizzacat
  • Вопрос задан 8 лет назад

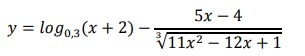
Найдите область определения функции (см. прикрепленный файл)

Приложения:

Ответы

Ответ дал: takmir
0
x+2>0
корень третьей степени из 11х^2-12x+1 не равно 0
Ответ дал: Pizzacat
0
на основание логарифма 0,3 можно внимание не обращать? знаки нигде не меняются?
Ответ дал: valenivan
0
Решение задания приложено
Приложения:
Вас заинтересует