• Предмет: Математика
  • Автор: super214
  • Вопрос задан 8 лет назад

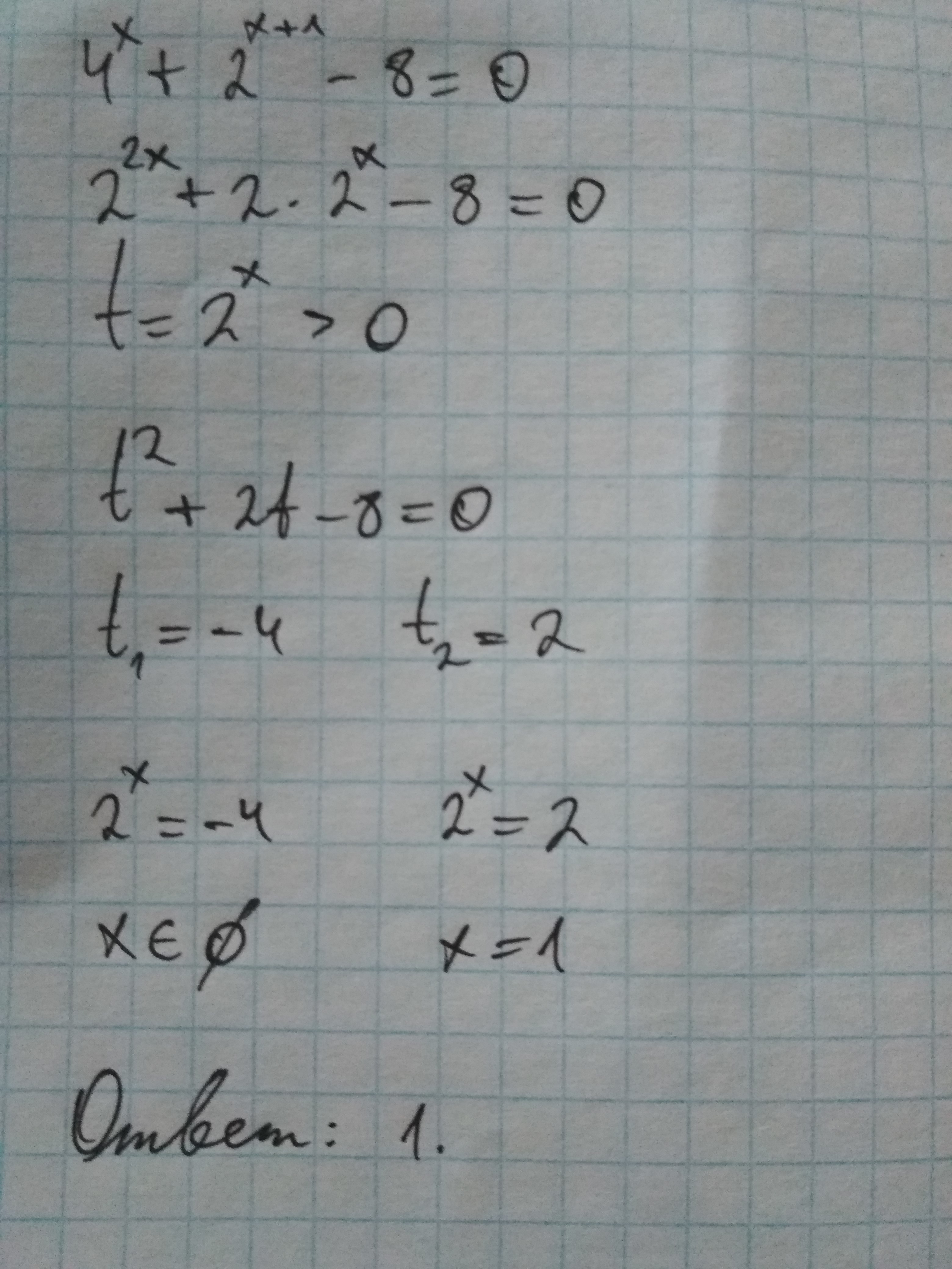
Решить показательное уравнение, преобразовав его к квадратному уравнению: 4х + 2х+1 – 8 = 0

Ответы

Ответ дал: tehril17
0
Надеюсь, помог. Удачи!
Приложения:
Вас заинтересует