• Предмет: Геометрия
  • Автор: sonatakulik032
  • Вопрос задан 8 лет назад

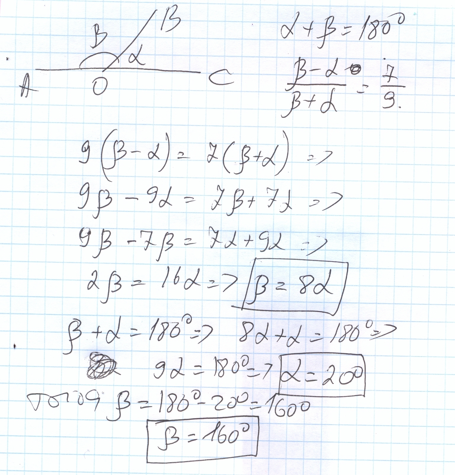
Разность смежных углов относится к их сумме как 7 к 9. Найти больший угол

Ответы

Ответ дал: ужнеужели
0
Разность смежных углов относится к их сумме как 7 к 9. Найти больший угол. 
Больший угол = 160 градусов.
Приложения:
Ответ дал: nabludatel00
0
а мы пойдем другим путем :) если один угол А, то другой 180-А. А ведь сумма смежных =180 вот и решаем простейшее уравнение (180-А)/180=7/9
Ответ дал: nabludatel00
0
ой, пропустил одно А :) (180-2А)/180=7/9
Ответ дал: LerroyJay
0
Тогда лучше (2А-180)/180=7/9
Ответ дал: LerroyJay
0
(x-y)/(x+y)=7/9
9x-9y=7y+7x
2x=16y
y=x/8

x+y=180
x+x/8=180
9x=1440
x=160°
Ответ 160°
Приложения:
Вас заинтересует