• Предмет: Математика
  • Автор: olioli8
  • Вопрос задан 8 лет назад

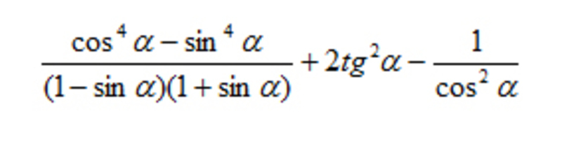
Упростите выражение:
0
1
-1
2

Приложения:

Ответы

Ответ дал: saltony94
0
по формулам сокращенного сложения
Приложения:
Вас заинтересует