высота боковой грани правильной четырехугольной пирамиды равна 10 определите объем пирамиды если боковая грань наклонина к плоскости основания 45 градусов
Ответы
Ответ дал:
0
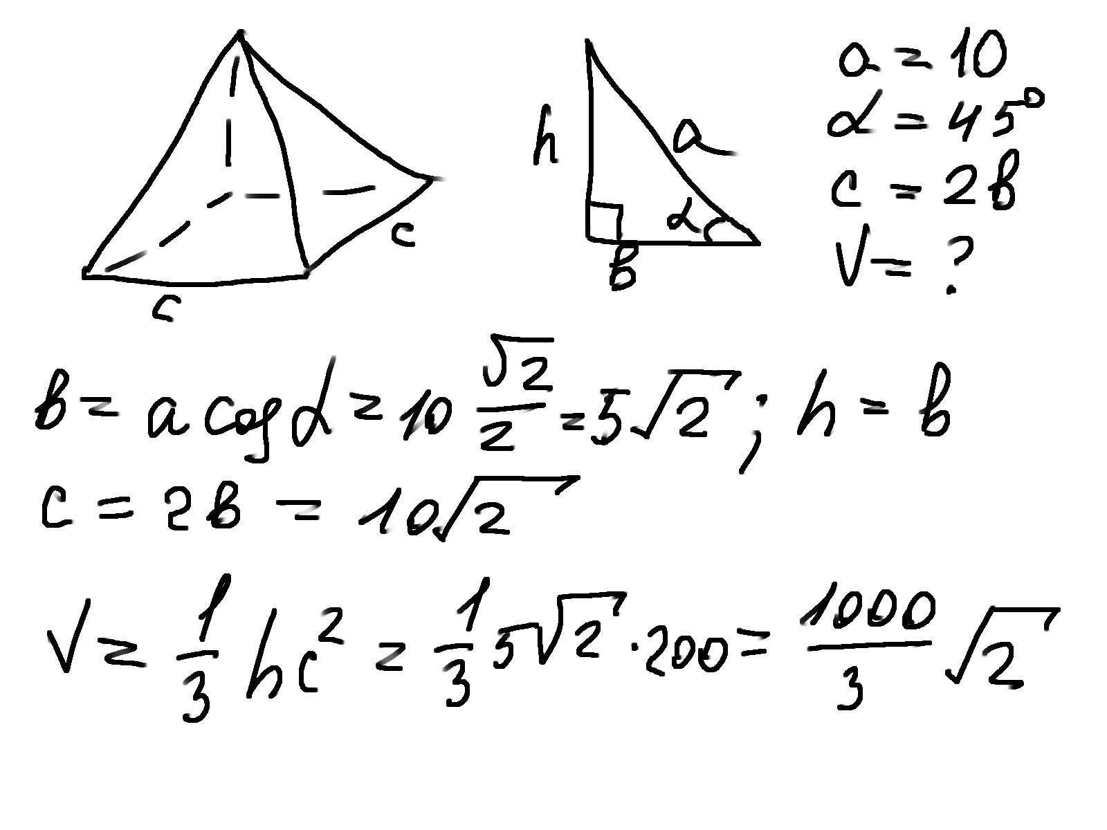
V=1/3hS
h=10*cos45=10√2/2=5√2
S=(2*10*sin45)^2=(20√2/2)^2=200
V=1/3*5√2*200=1000√2/3
h=10*cos45=10√2/2=5√2
S=(2*10*sin45)^2=(20√2/2)^2=200
V=1/3*5√2*200=1000√2/3
Ответ дал:
0
Рассмотрим часть поперечного сечения пирамиды. В треугольнике находим высоту пирамиды и половину стороны прямоугольника в основании. Находим объём по формуле.
Приложения:

Вас заинтересует
2 года назад
2 года назад
3 года назад
3 года назад
9 лет назад
9 лет назад
9 лет назад
9 лет назад