• Предмет: Математика
  • Автор: типичныйшкольник007
  • Вопрос задан 8 лет назад

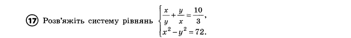
Задача на фото) помогите пожалуйста.

Приложения:

Ответы

Ответ дал: saltony94
0
ответ получился таким: (9;3)
(-9;-3)
Приложения:
Ответ дал: Беня2018
0
_____________________________
Приложения:
Вас заинтересует