• Предмет: Алгебра
  • Автор: Аноним
  • Вопрос задан 8 лет назад

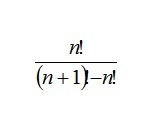
Используя определение факториала, сократите дробь:

Приложения:

Ответы

Ответ дал: valenivan
0
Решение задания приложено
Приложения:
Вас заинтересует