Ответы
Ответ дал:
0
№3 (а)
= 25 =
* 
= 9 =
* 
=
/
=
/
9 /
= 25 /
25 *
= 9 * 
= 9 / 25
= ±3 / 5
(б)
= 25 =
* 
= 1 =
* 
=
/
=
/
25 /
= 1 /
25 *
= 1 * 
= 1 / 25
= ±1 / 5
(б)
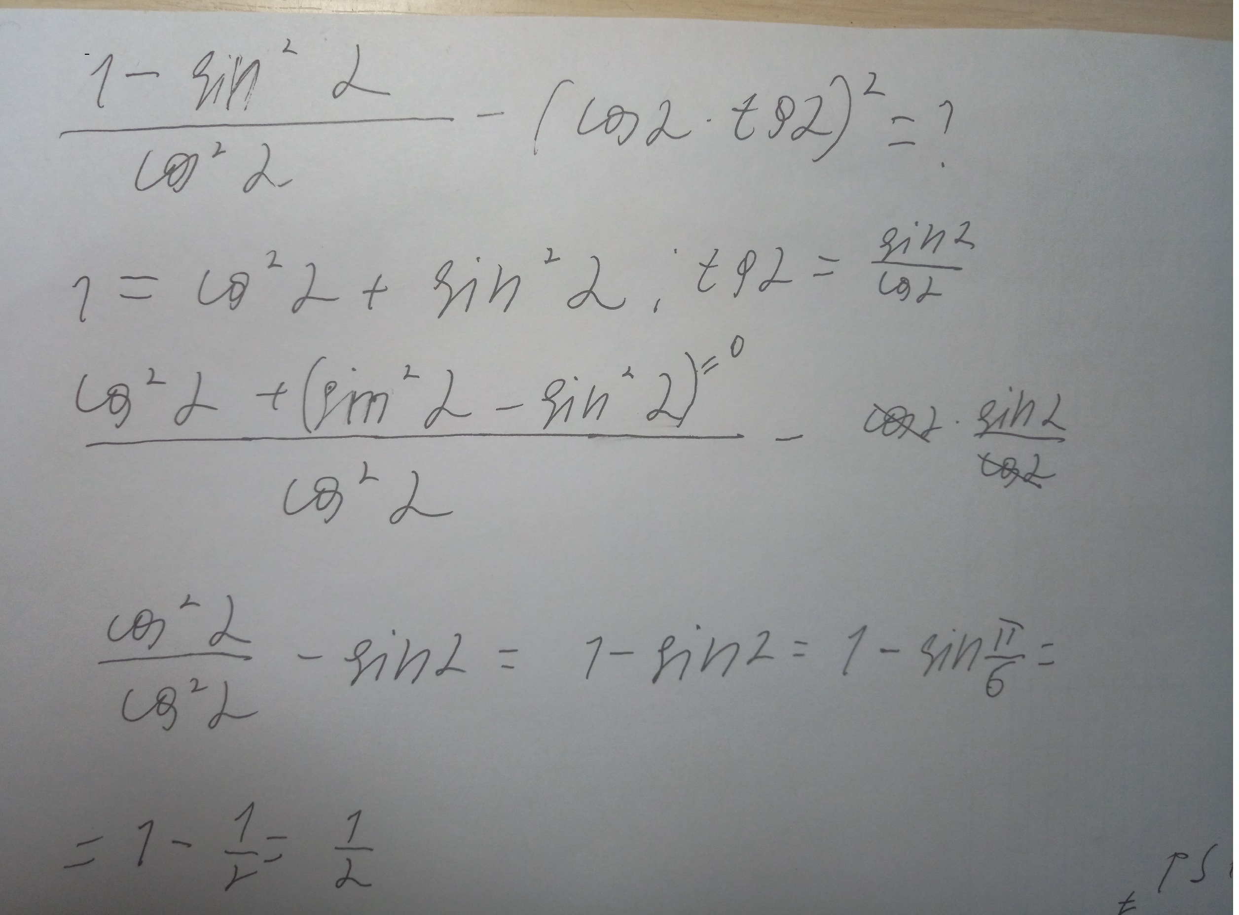
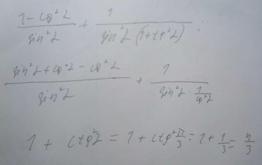
Приложения:
Вас заинтересует
2 года назад
2 года назад
3 года назад
3 года назад
9 лет назад
9 лет назад
10 лет назад