• Предмет: Алгебра
  • Автор: aidanashanaxaeva
  • Вопрос задан 8 лет назад

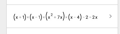
помогите решить уравнения пж

Приложения:

Ответы

Ответ дал: danyasharit
0
х3-2х2-х+2-х3+4х2-7х2+28х-2-2х=0-5х2+25х=0
х=0 х=-5
Вас заинтересует