Ответы
Ответ дал:
0
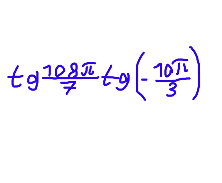
tg(108пи/7)=tg(15пи+3пи/7) =<период tg равен пи>=tg(3пи/7), 0<3пи/7<пи/2⇒угол 1 четверти, знак тангенса будет плюс+
tg(-10пи/3)=tg(-3пи-пи/3)=<период tg равен пи>=tg(-пи/3)
-пи/3 - угол четвертой четверти, знак тангенса минус-
Дано произведение, если первый множитель имеет знак +, второй- минус, то произведение будет отрицательным cо знаком минус:
tg(108пи/7)*tg(-10пи/3)<0
tg(-10пи/3)=tg(-3пи-пи/3)=<период tg равен пи>=tg(-пи/3)
-пи/3 - угол четвертой четверти, знак тангенса минус-
Дано произведение, если первый множитель имеет знак +, второй- минус, то произведение будет отрицательным cо знаком минус:
tg(108пи/7)*tg(-10пи/3)<0
Вас заинтересует
2 года назад
2 года назад
3 года назад
9 лет назад
9 лет назад
10 лет назад
10 лет назад