• Предмет: Алгебра
  • Автор: vovanpudovkin
  • Вопрос задан 8 лет назад

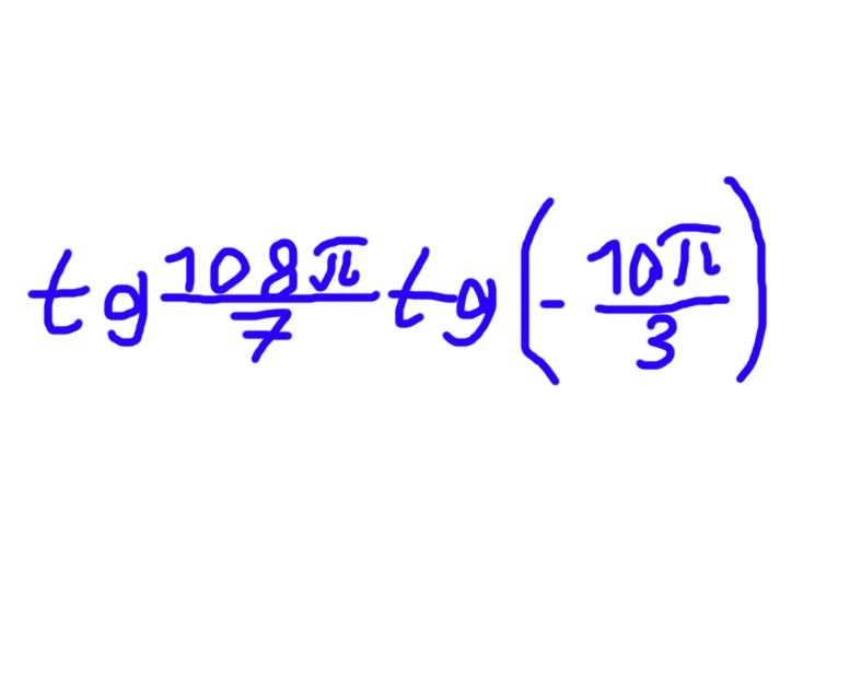
Как найти знак ? Помогите пожалуйста.

Приложения:

Ответы

Ответ дал: alfabetta
0
Cмотри приложенное решение
Приложения:
Вас заинтересует