• Предмет: Алгебра
  • Автор: tdjutcijgcigufh7
  • Вопрос задан 8 лет назад

Срочно! Помогите пожалуйста решить!(9 класс)

Приложения:

Ответы

Ответ дал: zinaidazina
0
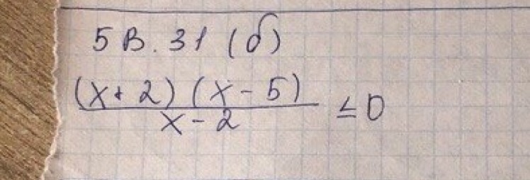
               frac{(x+2)(x-5)}{x-2}  leq 0

                -                    +                 -                        +
__________|___________ | __________|________________ 
                   -2                     2                   5

                x ∈(-∞;  -2]∪(2;  5]
Ответ дал: xerex21
0
 frac{(x+2)(x-5)}{x-2} leq 0                      ОДЗ: x-2≠0
  решаем  методом интервалов                                    x≠2
 left { {{x+2=0} atop {x-5=0}} right.   left { {{x=-2} atop {x=5}} right.
Отмечаем эти числа на прямой. Так как знак ≤, то  frac{(x+2)(x-5)}{x-2} должно быть отрицательным, значит x∈ (-∞;-2] ∪ (2; 5]
Ответ x ∈ (-∞;-2] ∪ (2; 5]
Приложения:
Вас заинтересует