• Предмет: Физика
  • Автор: ika19992
  • Вопрос задан 8 лет назад

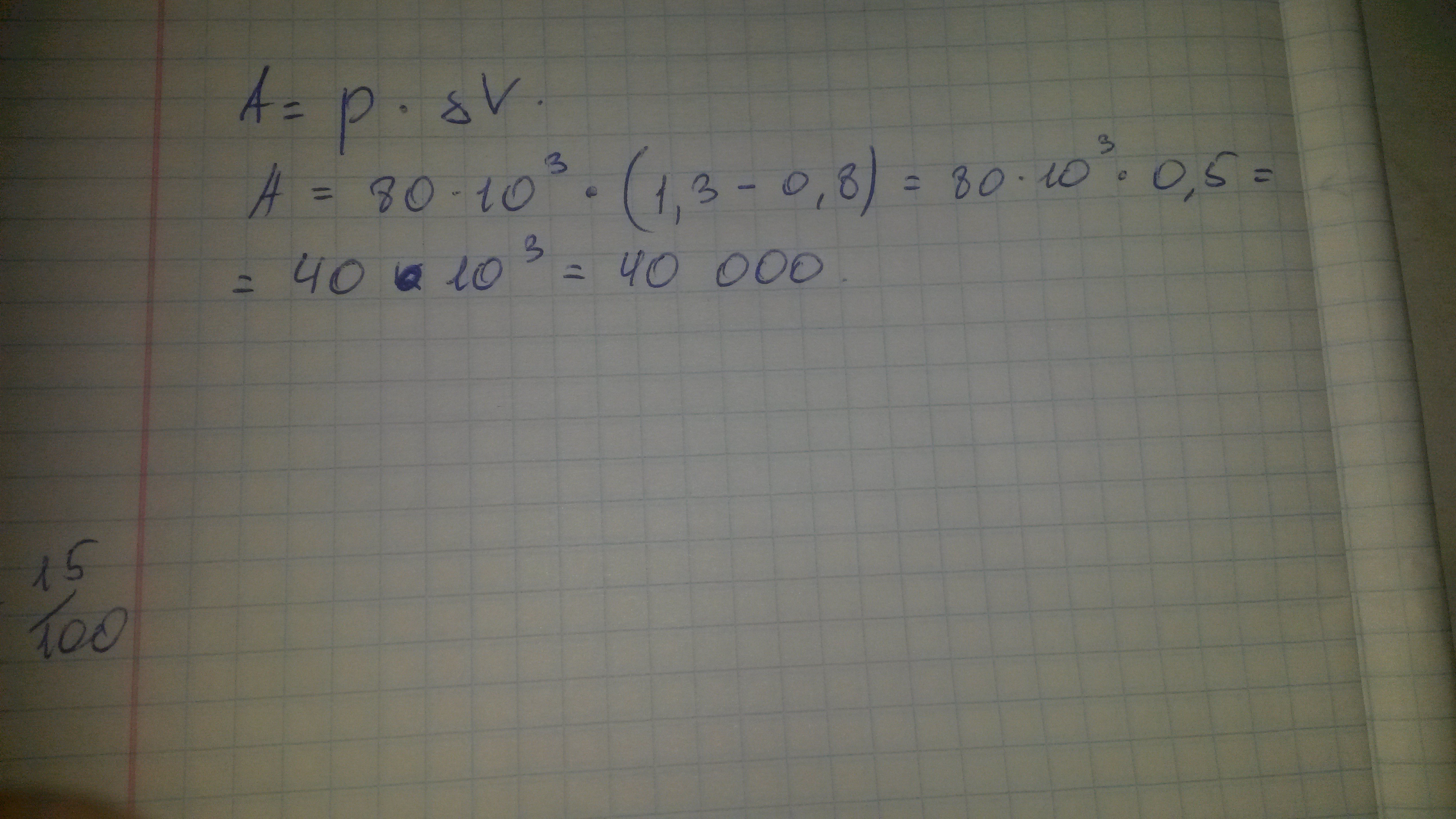
Найти работу совершаемую газом при давлении 80к па, если его объём изменился с 0.8м3 до 1.3м3

Ответы

Ответ дал: vipsan4o121
0
Елси в кило надо дать ответ то 40 ответ
Приложения:
Вас заинтересует