Ответы
Ответ дал:
0
!!!!!!!!!!!!!!!!!!!!!!!!
Приложения:
Ответ дал:
0
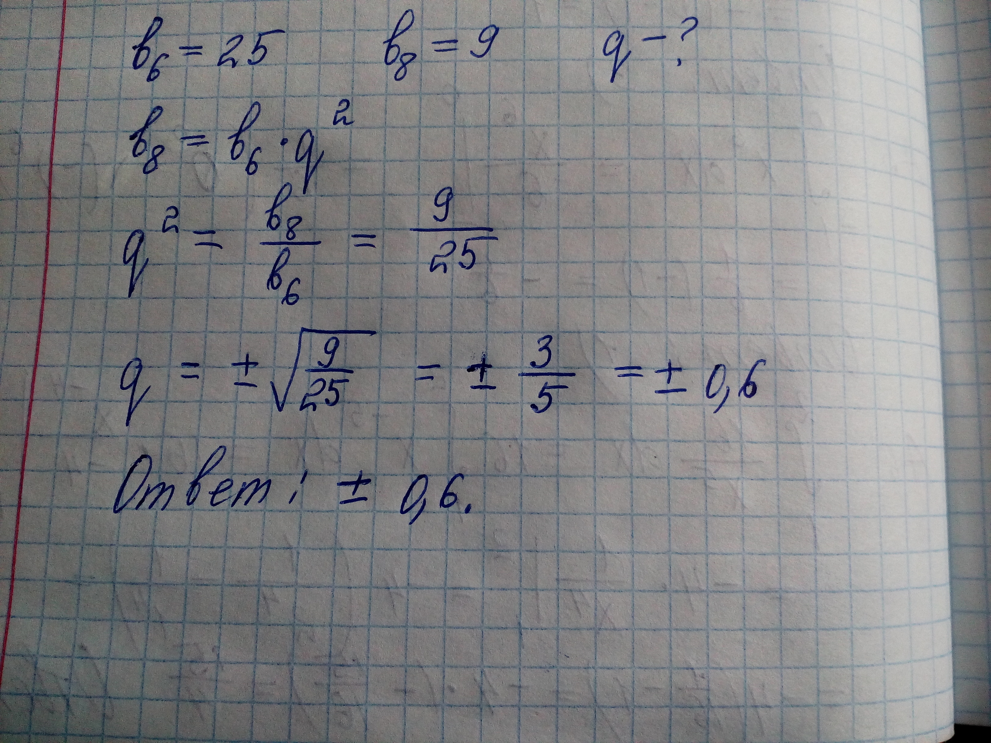
По свойству геометрической прогрессии:

То есть:

Тогда знаменатель равен:

Ответ: 0,6; -0,6
То есть:
Тогда знаменатель равен:
Ответ: 0,6; -0,6
Приложения:
Вас заинтересует
2 года назад
2 года назад
3 года назад
3 года назад
9 лет назад
9 лет назад
10 лет назад
10 лет назад