• Предмет: Алгебра
  • Автор: jsmmy
  • Вопрос задан 8 лет назад

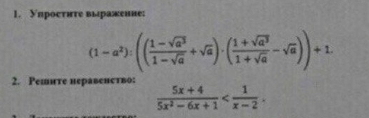
помогите упростить выражение и решить неравенство, пожалуйста!!

Приложения:

Ответы

Ответ дал: Алавит
0
решение на фото.....
Приложения:
Вас заинтересует