• Предмет: Алгебра
  • Автор: 3r2fefedf
  • Вопрос задан 8 лет назад

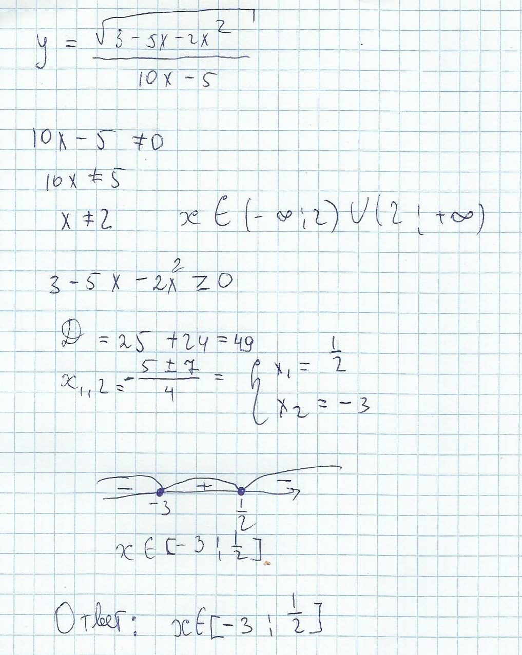
Найти область определение функии у=√3-5х-2х²корень закрылся/10х-5 Можно пожалуйста подробно

Ответы

Ответ дал: theoreticalphysicist
0
Решение во вложении.
Приложения:
Вас заинтересует