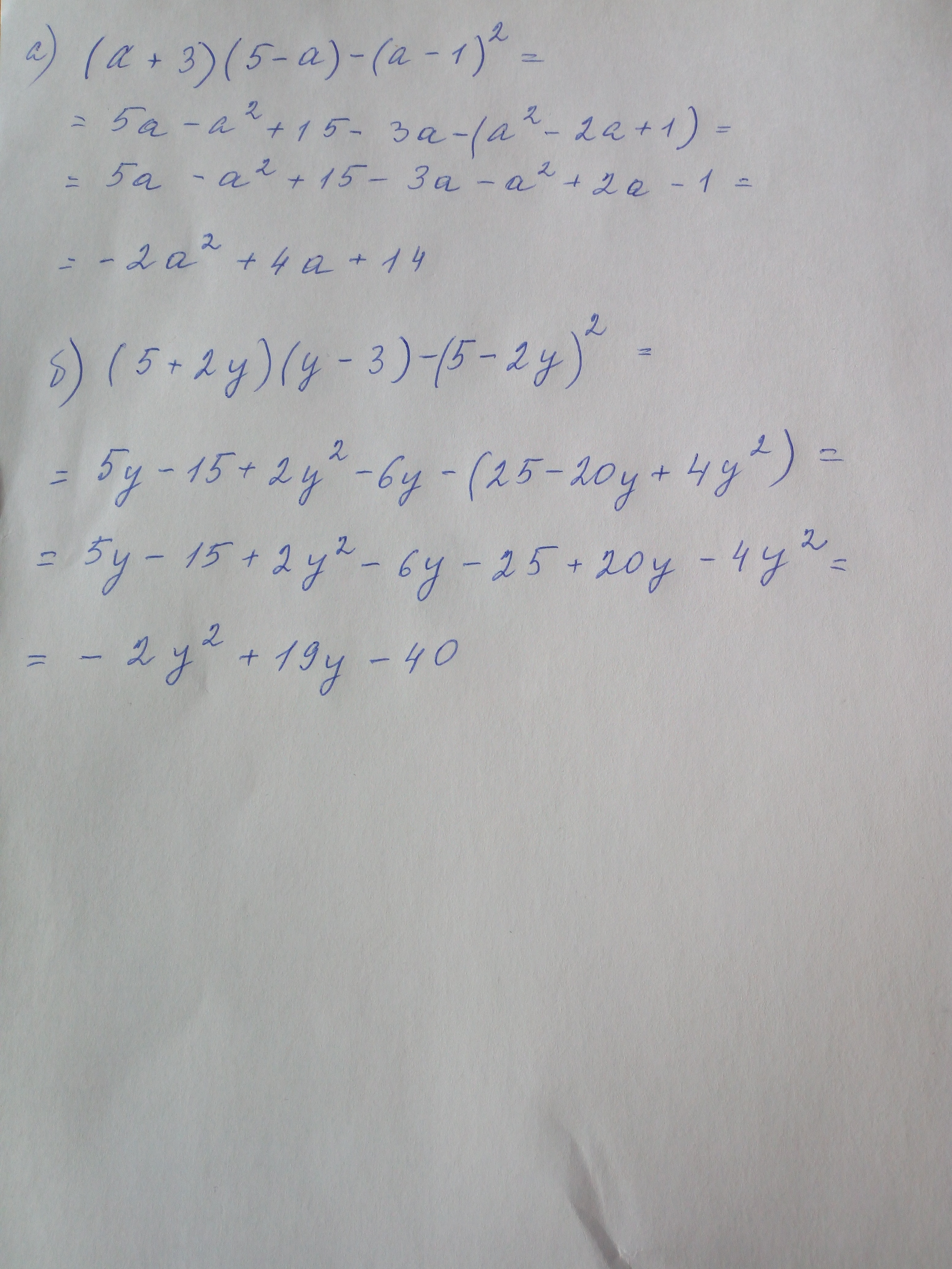
упростите выражение a)(a+3)(5-a)-(a-1)^2= б)(5+2y)(y-3)-(5-2y)^2
прошу помогите я очень плохо понимаю алгебру
Ответы
Ответ дал:
0
Смотри фото))))))))))))))))))))))))
Приложения:

Вас заинтересует
2 года назад
3 года назад
3 года назад
9 лет назад
9 лет назад