• Предмет: Алгебра
  • Автор: 55Анна551
  • Вопрос задан 8 лет назад

докажите тождество
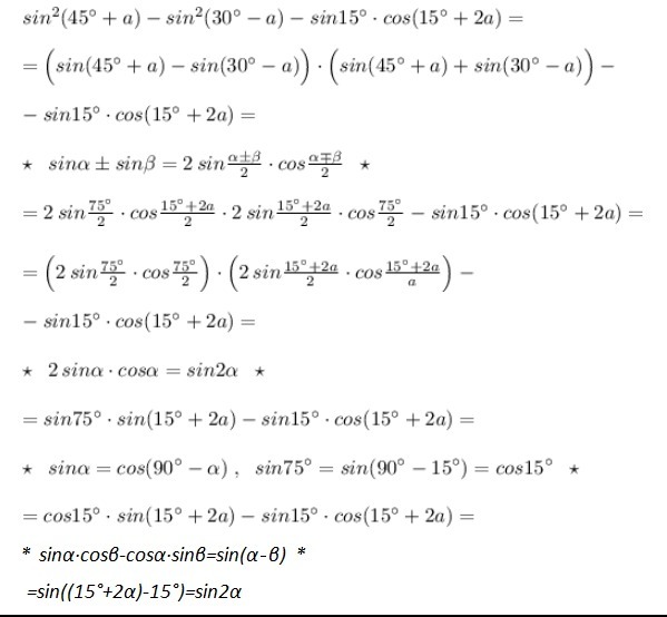
cos^2(45°+a)-cos^2(30°-а)-sin15°×cos(15°+2a)=sin2a

Ответы

Ответ дал: NNNLLL54
0
cos^2(45+a)-cos^2(30-a)-sin15cdot cos(15+2a)=\\=(cos(45+a)-cos(30-a))(cos(45+a)+cos(30-a))-\\-sin15cdot cos(15+2a)=\\=-2, sinfrac{75}{2}cdot sinfrac{15+2a}{2}cdot 2, cosfrac{75}{2}cdot cosfrac{15+2a}{2}-sin15cdot cos(15+2a)=\\=-sin75cdot sin(15+2a)-sin15cdot cos(15+2a)=\\=-Big (cos15cdot sin(15+2a)+sin15cdot cos(15+2a)Big )=\\=-sin(15+15+2a)=-sin(30+2a)ne sin2a\\\P.S.; ; cos^2(45+a)-cos^2(30-a)+sin15cdot cos(15+2a)=...=\\=-sin75cdot sin(15+2a)+sin15cdot cos(15+2a)=

=-cos15cdot sin(15+2a)+sin15cdot cos(15+2a)=\\=sin(15-(2a+15))=-sin2a
Приложения:
Вас заинтересует