• Предмет: Физика
  • Автор: balinleonid
  • Вопрос задан 8 лет назад

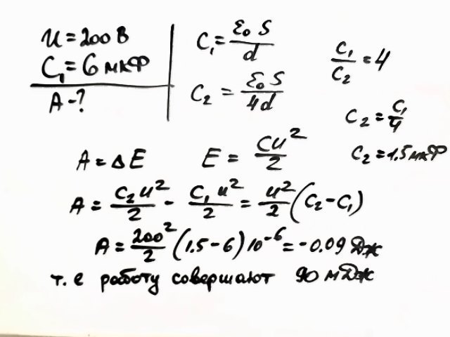
Плоский воздушный конденсатор емкостью 6мкФ заряжен до напрежения 200 В и отключен от источника. Пластины медленно раздвигают, увеличивают расстояние между ними в 4 раза. Какую работу (в мДж) при этом совершают?

Ответы

Ответ дал: elimofetoyp1j9
0
Плоский воздушный конденсатор емкостью 6мкФ заряжен до напрежения 200 В и отключен от источника. Пластины медленно раздвигают, 
Приложения:
Вас заинтересует