Ответы
Ответ дал:
0
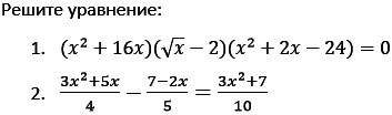
1. x^2+16x=0
x(x+16)=0
x=0 или x=-16
или sqrt(x) - 2 = 0
sqrt(x)=2
x=4
или x^2+2x-24=0
D=4-4*(-24) = 100
x1=(-2+10)/2 = 4
x2=(-2-10)/2 = -6
2.

D = 121-4*3*(-14) = 289
x1 = (-11+17)/6 = 1
x2 = (-11-17)/6 = -28/6 = -14/3
x(x+16)=0
x=0 или x=-16
или sqrt(x) - 2 = 0
sqrt(x)=2
x=4
или x^2+2x-24=0
D=4-4*(-24) = 100
x1=(-2+10)/2 = 4
x2=(-2-10)/2 = -6
2.
D = 121-4*3*(-14) = 289
x1 = (-11+17)/6 = 1
x2 = (-11-17)/6 = -28/6 = -14/3
Вас заинтересует
2 года назад
3 года назад
3 года назад
9 лет назад
10 лет назад
10 лет назад