• Предмет: Математика
  • Автор: kamelott
  • Вопрос задан 8 лет назад

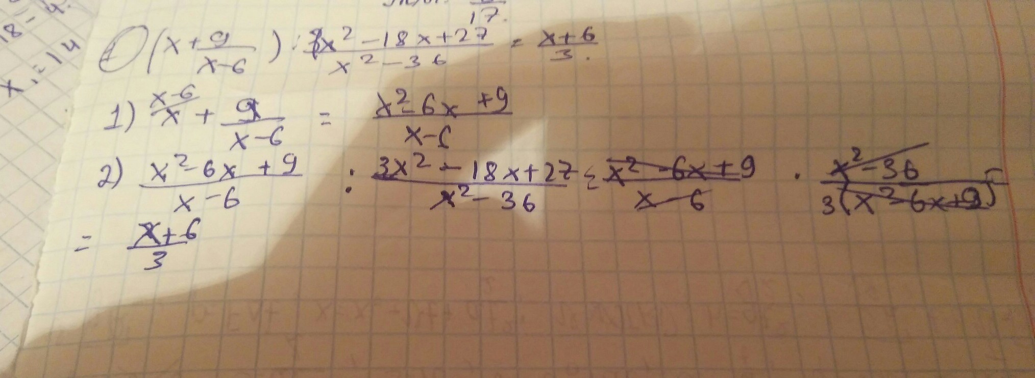
Упростите выражение:

Приложения:

Ответы

Ответ дал: Bunny611
0
Ответочка. Удачи на экзамене)
Приложения:
Ответ дал: kamelott
0
Спасибо! Она мне понадобится...
Вас заинтересует