• Предмет: Математика
  • Автор: Оля123124
  • Вопрос задан 8 лет назад

решите второе задание, пожалуйста! очен нужно, пожалуйста

Приложения:

Ответы

Ответ дал: Paul2910
0
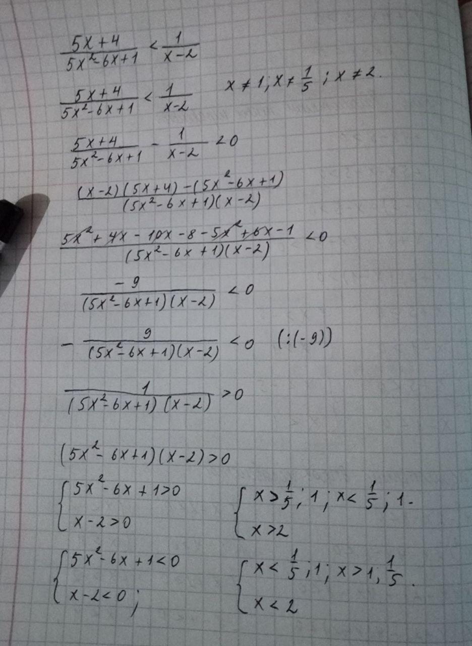
Решение приложено к снимку:
Приложения:
Ответ дал: NastyaSparrow
0
Решение смотри на фото.
Приложения:
Вас заинтересует