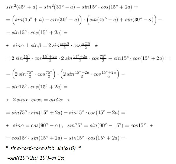
sin квадрат(45 градусов +а)-sin квадрат(30градусов - а)-sin15градусов умножить cos(15 градусов+2а)=sin2a
Ответы
Ответ дал:
0
...................................................................................................................................
Приложения:

Вас заинтересует
2 года назад
3 года назад
3 года назад
9 лет назад
9 лет назад
9 лет назад