• Предмет: Химия
  • Автор: valteeeeerr
  • Вопрос задан 8 лет назад

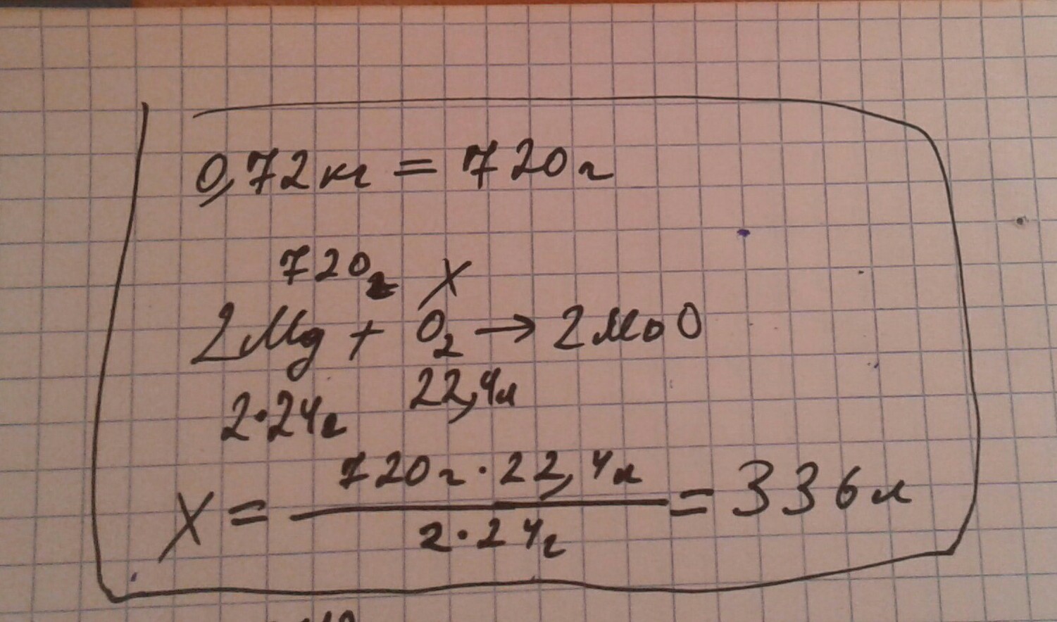
Для сжигания 0,72 кг магния требуется кислород количеством молей?

Ответы

Ответ дал: Jaloliddinirisqulov
0
Ответ 336 л
решения смотреть во вложении
Приложения:
Вас заинтересует