• Предмет: Математика
  • Автор: Gggh334
  • Вопрос задан 8 лет назад

Вычислите пожалуйста помогитеее

Приложения:

Ответы

Ответ дал: bearcab
0
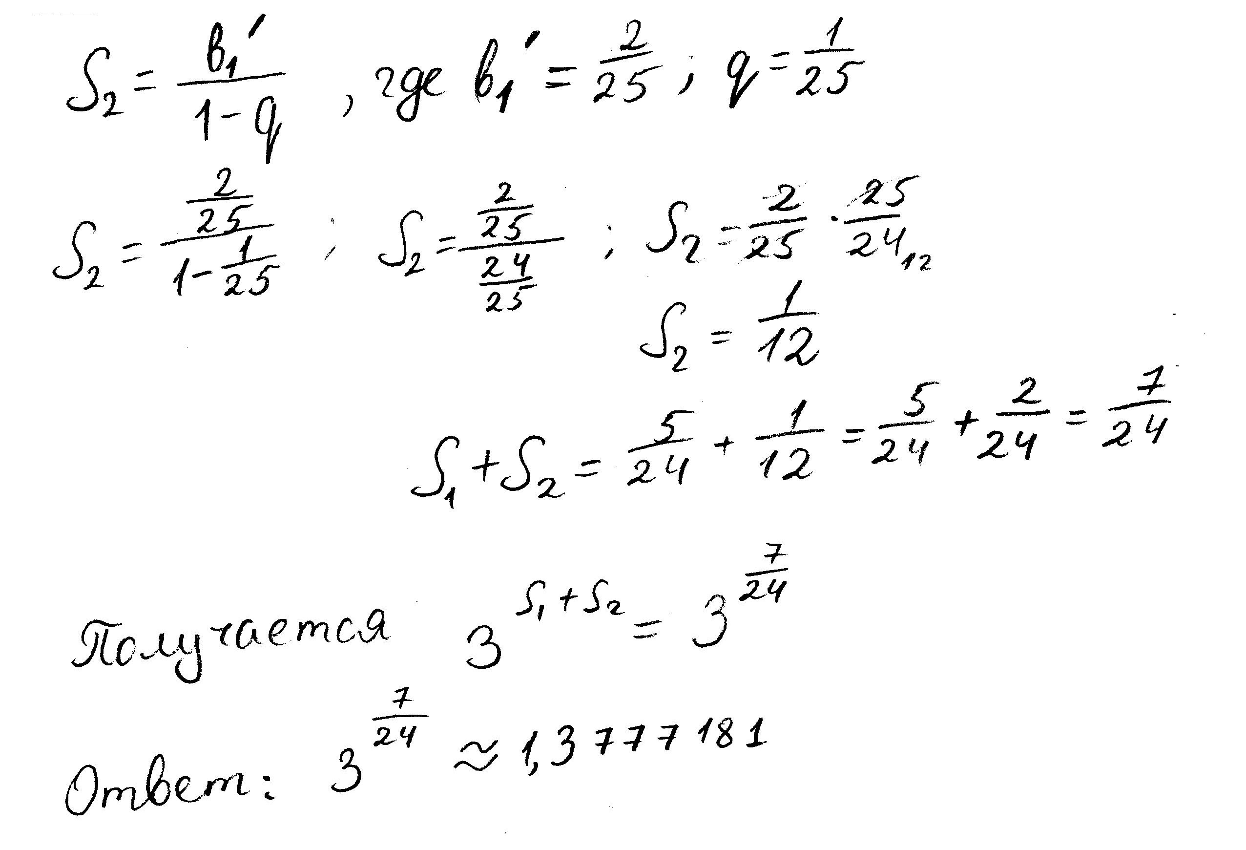
Решение в приложении.
Ответ:3^frac{7}{24}approx1,3777181
Приложения:
Вас заинтересует