• Предмет: Алгебра
  • Автор: MilaniaExp
  • Вопрос задан 8 лет назад

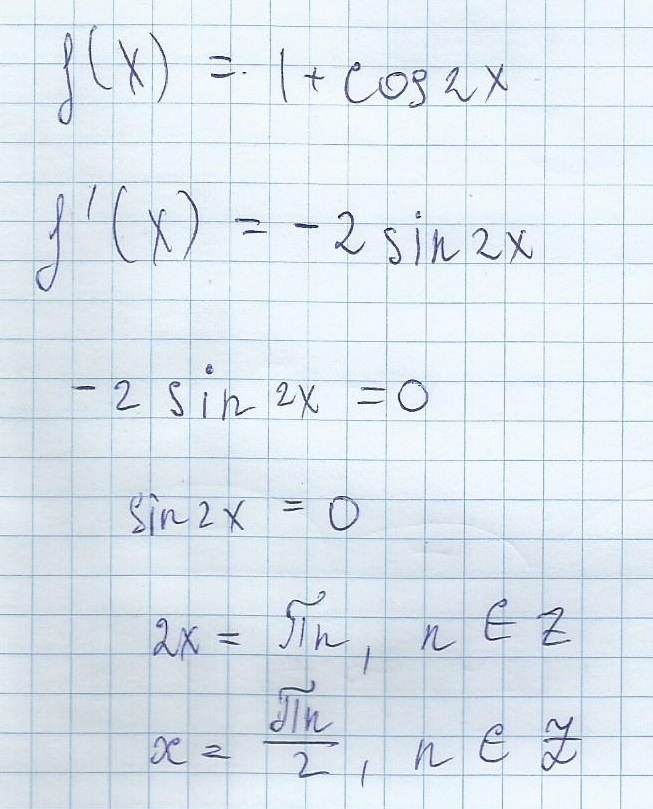
Найдите критические точки функции f(x)=1+cos2x

Ответы

Ответ дал: Нау4пок
0
Решение во вложении.
Приложения:
Вас заинтересует