Ответы
Ответ дал:
0
Вот
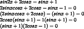
...........................................
...........................................
Приложения:

Вас заинтересует
2 года назад
2 года назад
3 года назад
3 года назад
9 лет назад
9 лет назад
9 лет назад