• Предмет: Алгебра
  • Автор: NikNek228
  • Вопрос задан 8 лет назад

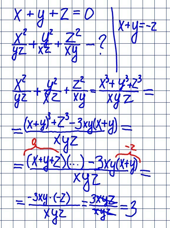
Найти значение выражения во второй строке если известно что x + y + z = 0

Приложения:

Ответы

Ответ дал: Аноним
0
Во вложении. В ответе не совсем уверен, но как вариант рассмотреть стоит
Приложения:
Ответ дал: NikNek228
0
ответ верный
Ответ дал: Аноним
0
Отлично) Если что не понятно, спрашивайте)
Вас заинтересует