• Предмет: Алгебра
  • Автор: shokoladkakek
  • Вопрос задан 8 лет назад

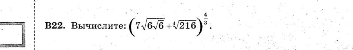
Объясните как решать

Приложения:

Ответы

Ответ дал: valenivan
0
Решение задания приложено
Приложения:
Вас заинтересует