• Предмет: Алгебра
  • Автор: lenka0202
  • Вопрос задан 11 лет назад

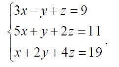
Проверить совместность системы уравнений и в случае совместности решить её методом Гаусса

Приложения:

Ответы

Ответ дал: AntonDr
0
Ответ:
x1=1/3
x2=-20/9
x3=52/9
Вас заинтересует