Если работа по полному торможению фотоэлектронов электрическим полем равна работе выхода А, то какова частота квантов, вызывающих фотоэффект?
Ответы
Ответ дал:
0
v=?
A=h*v
v=A/h (h=6.63*10⁻³⁴)
A=h*v
v=A/h (h=6.63*10⁻³⁴)
Ответ дал:
0
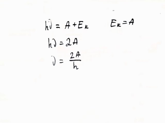
Если работа по полному торможению фотоэлектронов электрическим полем равна работе выхода А, то какова частота квантов, вызывающих фотоэффект?
Приложения:
Вас заинтересует
2 года назад
2 года назад
3 года назад
3 года назад
9 лет назад
9 лет назад
10 лет назад